Matrices & Determinants Questions and Answers


Algebra
Matrices & DeterminantsGIGGI K HIGIE Consider the function a Determine witho b c Find the minimu Identify the func




Algebra
Matrices & DeterminantsThe vector x is in a subspace H with a basis b1 b2 Find the B coordinate vector of bi 3 x 13 b2 N O 3 H

Algebra
Matrices & DeterminantsUnit 4 Part 1 Major Assessment Radi 4 of 14 Simplify 2 3 3 4 5 3 12 2 3 6 5 2 2 8 4 2 4

Algebra
Matrices & DeterminantsCorrect ther the given system of linear equations h 6x 2y 4 5 4x 4 3 y 7 15


Algebra
Matrices & Determinantsa Classify all 2x2 matrices A a C b d with integer entries such that both vectors u 1 4 V are eigenvectors of A b Write an infinite sequence of concrete distinct non diagonal matrices A A2 An such that the vectors u and v are simultaneous eigenvectors for all An and write the corresponding eigenvalues for each An

Algebra
Matrices & DeterminantsConsider the following initial value problem a Find the solution y t NOTE Denote the Heaviside function by uc t where uc t otherwise Indicate separately the exact value of c y t y 4y 8y 8 t y 0 1 y 0 0 where c 1 if tc and 0

Algebra
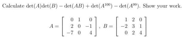
Matrices & DeterminantsCalculate det A det B det AB det A 00 det 499 Show your work A 01 20 1 7 0 4 0 B 12 0 2 3 1 024

Algebra
Matrices & DeterminantsList the possible rational zeros of the function using the Rational Roots Theorem f x x 7x 9 O 1 9 1 3 7 9 1 7 9 1 3 9

Algebra
Matrices & DeterminantsSimplify the expression 2x 5x4 Evaluate using properties of exponents 2 4

Algebra
Matrices & DeterminantsUse Simpson s Rule with n 10 to approximate the area of the surface obtained by rotating the curve about the x a Round your answers to six decimal places y 2xe 0 xsl Simpson s Rule calculator approximation

Algebra
Matrices & DeterminantsFor the matrix A 1 3 1 2 5 3 1 2 5 a 7 marks Use row reduction or the adjoint method to calculate A b 3marks Use the information from part a to solve the system 0 2 A X 2

Algebra
Matrices & DeterminantsO Points 0 of 5 A restaurant has a main location and a traveling food truck The first matrix A shows the number of managers and associates employed The second matrx B shows the average annual cost of salary and benefits in thousands of dollars Complete parts a through c below Restaurant Food Truck AB Managers Associates 24 a Find the matrix product A 720 128 234 44 Tampety your answer Managers Associates Salary Benefits 42 23 B Save

Algebra
Matrices & DeterminantsDetermine whether the following system is consistent or inconsistent If it is consistent determine x 2x3 x 2 4x3 x 10 2 2x12x2 x1 x x3

Algebra
Matrices & DeterminantsFor the following system to be consistent 4 27 9x 5y 2z 6 4x 3y 5z 32x 23y kz we must have k

Algebra
Matrices & Determinants4 points A graph with vertices a b c d e has adjacency matrix 1 What is the order of the graph order 2 How many edges does the graph have answer 3 What is the degree of vertex b degree 4 What is the degree of vertex d A 0 0 0 1 0 0 0 0 0 0 000 1 0 01 02 0 0 0 2 0

Algebra
Matrices & DeterminantsFind a basis of the subspace of R 4 defined by the equation 4x 1 7x 2 4x 3 3x 4 0

Algebra
Matrices & DeterminantsIdentify the matrix A as a square matrix column matrix row matrix or neither and determine the negative additive inverse of A 30 8 A 54 0 36 1 Choose the correct answer below and fill in the answer box to complete your choice OA Aisa B A is a row matrix C A is a 3 x 3 square matrix D A is a columnn matrix matrix It is not a square column or row matrix Determine the negative additive inverse of A A Simplify your answer

Algebra
Matrices & DeterminantsWrite the system of equations as a matrix equation AX B with A as the coefficient matrix of the system X 8x 37 3x 4x 1 X HE

Algebra
Matrices & DeterminantsFor the following system of homogenous 3x y 6z y 15z 0 linear equations Use elementary row operations to solve the above system Identify the free variable s if any

Algebra
Matrices & DeterminantsQuestion 2 For the function given below determine the domain all vertical and slant asymptotes Use all of this information points as needed to sketch the graph of the function on f x x 1 2 1 24 4 3 2 0 4 1 2 3 4 3

Algebra
Matrices & DeterminantsConsider the following matrices Find a matrix B such that and a matrix C such that 1 0 2 44 1 3 4 2 1 5 A 1 D 0 1 1 4 AB D CA D 4

Algebra
Matrices & Determinantsakeed this question it was wrong i should be able to get a new question Apply the Simplex Method to the following matrix 4 1 0 0 561 9 1 0 1 0 7 3 0 0 1 0 2 2 0 1 9 4 9 2 1 0 011 2 4 172644 1 5 0 56 3 5 2 5 224 01 Show Transcribed Text

Algebra
Matrices & Determinantsfind sin x y cos x y and tan x y if sinx 1 3 cosy 2 5 x is in QIII and y is in QII

Algebra
Matrices & DeterminantsSolve the system 8 8 8 3 t 521 6x2 323 2 33 522 623 322 923 21 421 321 224 2x4 3 1 424 4 6x4 3

Algebra
Matrices & DeterminantsDetermine all values of k for which the following matrices are linearly dependent in M 2x2 5 2k 0 0 R 24 and 28 1 A 3 B 2 C 1 D O OE 1 The sum of these k values would be 1 2 k 2 43 1 0 0 7

Algebra
Matrices & DeterminantsConsider the function f x x5 ln x a Find the domain of f Answer b Find the critical points Answer x c Find the domains of increase and decrease Increasing Decreasing d Find the inflection point Answer x

Algebra
Matrices & DeterminantsDescribe all least squares solutions of the equation Ax b A 110 110 101 101 b 5 1 G X3 The least squares solutions are all vectors of the form x x3 with x3 free Simplify your answers

Algebra
Matrices & Determinants2 For 2 2 matrices A and B the following is true I is 2 2 identity matrix AB A 21 BA A B I Determine whether the following statements are true or false a AB BA b 2A B I I

Algebra
Matrices & DeterminantsFill in the blanks Enter intercepts as ordered pairs aka points Then Graph the parabola given in vertex Vertex Form y x 3 1 1 Does the parabola open up or down O UpO Down 2 Vertex z y 3 Equation of the Axis of Symmetry 10 9 8 7 6 5 324 10 9 8 7 6 5 4 3 2 1 123 4557 5 6 7 8 c J 4 5 6 7 8 9 10

Algebra
Matrices & Determinants8 7 6 5 4 3 7 a Vertex of the parabola b Axis of Symmetry 4 2 m 6 7 a Consider the graph of a quadratic function shown above Identify the following Enter coordinates as an ordered pair Separate multiple answers with a comma If no real number solutic exists enter DNE 14 c Is the vertex a minimum or a maximum value of the function O Minimum

Algebra
Matrices & Determinants1 Set up an integral that represents the arclength of the curve y ln 1 x 0 x 5 then us

Algebra
Matrices & DeterminantsExercise 4 2 11 In each case write u u u where u is parallel to v and u is orthogonal to v 2 3 HH 1 3 a u b u c C u 2 4 3 3 0 HA d u 2 V 4 1

Algebra
Matrices & DeterminantsConsider the matrix 2 4 24 00 0 1 6 a Reduce B to the identity matrix using elementary row operations 4 points b Write B as a product of elementary matrices Note This does not require you to actually compute B 13 points c Write B as the product of elementary matrices 3 points Note in parts b and c you must write down the corresponding elementary matrices explicitly to rece full marks

Algebra
Matrices & Determinants5 In each of the following cases find det A det A7 det 34 det A det ATA det A 1 and det AA a A 4 1 2 1 b A 0 5

Algebra
Matrices & DeterminantsA student is reading a fictional book at about 300 words per minute Convert this rate to words per second 18 300 words min Which of the below choices shows what should go in the square brackets to make the conversion to words per second 300 words 1min min 60 sec 300 words 60 sec 1min 300 words 60 min min 1 hour

Algebra
Matrices & DeterminantsConsider the graphs of the functions f x and g x T E 2 7 2 f x g x What is the value of f g 2 02 0 9 O 10

Algebra
Matrices & Determinants8 mutiplay sub 4 3 4 24 8 a34 Aaal 2 2 3 a 4 6 a3 12 B 44 243 48197 2 3

Algebra
Matrices & DeterminantsEXAMPLE 12 For what value s of h will y be in the subspace of R spanned by V1 V2 V3 if V 4 V3 and y 1 h 34

Algebra
Matrices & DeterminantsDE F G Carry out the multiplication on the left and right side DE First suppose that A is invertible and let A 1 B0 Then AA 1 B0 D C F G

Algebra
Matrices & DeterminantsFind the values of x and y that make the equation true 2x 8 6 2y 1 x 3 y 4 x 3 y 4 x 4 y 3 x 4 y 3

Algebra
Matrices & DeterminantsFind the discriminant and describe the roots of each equation Choose from the following terms real imaginary rational irrational equal and unequal 5 x 3X 10 6 x 12x 36 0 7 4x 8X 20 C v2 J

Algebra
Matrices & DeterminantsRegular investments made at the beginning of each quarter earn 5 4 compounded quarterly How many more 2 100 investments than 2 300 investments will it take to accumulate 111 000 Do not round intermediate calculations and round up the number of investments It will take more payments

Algebra
Matrices & DeterminantsT shirt Design Lab Design Your O a Consider the following Describe the pattern Draw the next figure Hawkes Learning Home b Consider the following Question

Algebra
Matrices & DeterminantsTake a two digit number represented by ab such that neither a nor b is zero and a is not equal to b Reverse the digits and add the result to the original number Divide this sum by a b What is the quotient

Algebra
Matrices & DeterminantsSimplify the radical without using rational exponents Assume all variables are restricted to positive values that way we don t have to worry about absolute values 5 Use sqrt to input square roots into WebWork For example use sqrt 5 to represent 5 Assume all variables are restricted to positive values that way we don t have to worry about absolute values